Задание с ответами: химия. ЕГЭ — 2018
Какую массу оксида серы (VI) следует добавить к 500 г. 20 %-ного раствора серной кислоты, чтобы увеличить ее массовую долю вдвое?
1) Запишем уравнение протекающей реакции:

2) масса чистой серной кислоты в 20%-ом растворе:
г
масса воды в растворе равна 500 - 100 = 400 г
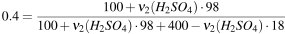
3) массовая доля серной кислоты в получившемся растворе будет равна 20 * 2 = 40%



4) По реакции количество вступившего в реакцию оксида серы (VI) равно 
Тогда
г
Правильный ответ: 