Задание с ответами: химия. ЕГЭ — 2018
Рассчитайте массовую долю нитрата калия в растворе, полученном при растворении в 500 г. 10 %-ного раствора
всего оксида азота (IV), который выделится при нагревании 33,1 г. нитрата свинца (II).
1) Запишем уравнения реакций:


2) Количество вещества нитрата свинца(II), вступившего в реакцию равно:
моль
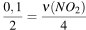
3) Количество вещества образовавшегося оксида азота (IV):

моль
5) Количества вещества гидроксида калия вступившего в реакцию равно:
г
моль
6) Гидроксид калия взят в избытке, поэтому количество вещества нитрата калия считаем по количеству диоксида азота:

моль
7) Масса конечного раствора состоит из масс раствора гидроксида калия и пропускающегося через него диоксида азота, поэтому
%