Задание с ответами: химия. ЕГЭ — 2018
Смесь железных и серебряных опилок обработали избытком разбавленной соляной кислоты, при этом выделилось 4,48 л (н. у.) водорода. Какой объём 20 %-ной серной кислоты плотностью 1,14 г/мл понадобился бы для растворения всего железа, содержащегося в исходной смеси?
1) Серебро стоит в электрохимическом ряду металлов правее водорода, поэтому не реагирует с соляной кислотой.
Тогда уравнение реакции следующее:




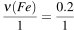
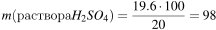
2) 





Правильный ответ: 