Задание с ответами: химия. ЕГЭ — 2018
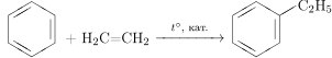
Напишите уравнения реакций, с помощью которых можно осуществить следующие превращения:
→
→ 
При написании уравнений реакций используйте структурные формулы органических соединений.
1) 
2) 
3) 
4) 
5) 
/* */
ВЫБЕРИТЕ ПРОФЕССИОНАЛЬНУЮ ПОМОЩЬ!
Напишите уравнения реакций, с помощью которых можно осуществить следующие превращения:
→
→ 
При написании уравнений реакций используйте структурные формулы органических соединений.
1) 
2) 
3) 
4) 
5) 