Задание с ответами: химия. ЕГЭ — 2018
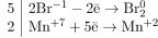
Используя метод электронного баланса, составьте уравнение реакции:
→ 
Определите окислитель и восстановитель.


Бром в степени окисления −1 является восстановителем, а марганец +7 (или перманганат калия за счет марганца +7) — окислителем.