Задание с ответами: химия. ЕГЭ — 2018
Газ, выделившийся при взаимодействии 3,2 г меди с 100 мл 60 %-ной азотной кислоты (плотностью 1,4 г/мл), растворили в 100 г 15 %-ного раствора гидроксида натрия. Рассчитайте суммарную массовую долю солей в полученном растворе.
1) Запишем уравнения реакций:


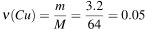
2) Количество вещества меди, вступившей в реакцию равно:
моль
3) Количество вещества азотной кислоты, вступившей в реакцию равно:
г
г
моль
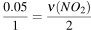
4) Азотная кислота взята в избытке, поэтому количество вещества образовавшегося газа считаем по количеству меди:

моль
5) Количества вещества гидроксида натрия вступившего в реакцию равно:
г
моль
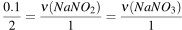
6) Гидроксид натрия взят в избытке, поэтому количество вещества нитрита и нитрата натрия считаем по количеству диоксида азота:

моль
7) Масса конечного раствора состоит масс из раствора гидроксида натрия и пропускающегося через него диоксида азота, поэтому
Правильный ответ:
%