Задание с ответами: химия. ЕГЭ — 2018
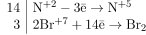
Используя метод электронного баланса, составьте уравнение реакции:
→ 
Определите окислитель и восстановитель.

→ 
Азот в степени окисления +2 (или оксид азота) является восстановителем , а бром +7 (или бромная кислота) — окислителем.