Задание с ответами: химия. ЕГЭ — 2018
При разложении нитрата меди (II) выделилась смесь газов объемом 11,2 л (в пересчете на н.у.). Масса остатка составила 94 г. К остатку добавили 292 г 10%-ного раствора соляной кислоты. Определите массовую долю HCl в полученном растворе.
В ответе напишите уравнения реакций, которые указаны в условии задачи, и приведите все необходимые вычисления.
При разложении нитрата меди (II) образуется смесь газов — диоксида азота (IV) и кислорода:

С водным раствором соляной кислоты реагирует оксид меди, образовавшийся при прокаливании нитрата меди (II):

Вычислим количество газов, образующихся при разложении нитрата меди:

По уравнению реакции

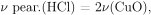
Вычислим массу и количество вещества хлороводорода в исходном растворе:


По уравнению реакции взаимодействия оксида меди (II) с соляной кислотой
следовательно, с
прореагировало 
В растворе осталось

Вычислим массу образовавшегося раствора:

Массовая доля хлороводорода в образовавшемся растворе равна:

Правильный ответ: 3,78%.