Задание с ответами: химия. ЕГЭ — 2018
Некая соль амина прореагировала с Нитратом серебра, при этом образовалось вещество А и выпал осадок
. Известно, что в веществе А ω(
) = 29,79 %, ω(
) = 12,77 %, ω(
) = 51,06 %. Найдите молекулярную формулу вещества А, Постройте его структурную формулу, однозначно отображающее порядок атомов, Запишите уравнение реакции получения вещества А из некой соли амина и нитрата серебра.
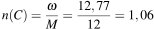
1. Находим процентное содержание (
) в веществе А.

2. Находим количество элементов в веществе А.
моль.
моль.
моль.
моль.
Молекулярная формула — 

Правильный ответ: вещество А CH3NH3NO3; структурная формула [CH3−NH3]+−
.