Задание с ответами: химия. ЕГЭ — 2018
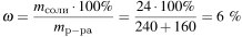
К 240 г раствора с массовой долей соли 10 % добавили 160 мл воды. Вычислите массовую долю соли в полученном растворе. Ответ дайте в процентах с точностью до целых.
Массовая доля (
) — это отношение массы растворенного вещества к общей массе раствора, таким образом, найдём начальную массу соли:

.
Правильный ответ: 6.
Правильный ответ: 6