Задание с ответами: химия. ЕГЭ — 2018
Вычислите массу твёрдого нитрата аммония, который надо добавить к 210 г воды, чтобы получить 16 %-й раствор соли. Ответ укажите в граммах с точностью до целых.
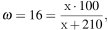
Массовая доля вещества в растворе вычисляется по формуле:

пусть
— масса вещества, которую нужно добавить, тогда:

откуда


Правильный ответ: 40.
Правильный ответ: 40