Задание с ответами: химия. ЕГЭ — 2018
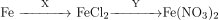
Задана следующая схема превращений веществ:

Определите, какие из указанных веществ являются веществами X и Y.
1) 
2) 
3) 
4) 
5) 
Запишите в ответ цифры, расположив их в порядке, соответствующим буквам:
| X | Y |
Сведения для решения
Из перечисленных веществ железо в одну стадию можно перевести в хлорид железа (II) только при реакции с раствором хлорида меди (II) (вещество № 2). С хлоридом натрия реакция не пойдет, так как натрий в электрохимическом ряду напряжения металлов левее железа и не вытесняется им из соли. При реакции железа с хлором получается хлорид железа (III), а не (II).
Далее хлорид железа (II) в одну стадию можно перевести в нитрат железа (II) по реакции с нитратом серебра (вещество № 5), так как при реакции ионного обмена должны образовываться вода, газ или осадок. В случае реакции с нитратом натрия образуются растворимые хлорид натрия и нитрат железа, а при реакции с нитратом серебра образуется осадок — хлорид серебра.
Правильный ответ: 25.
Правильный ответ: 25