Задание с ответами: химия. ЕГЭ — 2018
Используя метод электронного баланса, составьте уравнение реакции:

Определите окислитель и восстановитель.
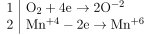
1) Составим электронный баланс:

2) Укажем окислитель и восстановитель: окислитель —
восстановитель — 
3) Определим недостающие вещества и составим уравнение реакции:
