Задание с ответами: химия. ЕГЭ — 2018
Используя метод электронного баланса, составьте уравнение реакции:

Определите окислитель и восстановитель.
Элементы ответа:
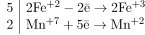
1) Составлен электронный баланс:

2) Расставлены коэффициенты в уравнении реакции:
3) Указано, что марганец в степени окисления +7 (или перманганат калия) является окислителем, а железо в степени окисления +2 (или сульфат железа (II)) — восстановителем.