Задание с ответами: химия. ЕГЭ — 2018
Вычислите массу соли, которую нужно добавить к 50 г 20 %-ного раствора, чтобы увеличить её концентрацию в два раза. Ответ укажите в граммах с точностью до целых.
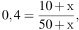
Найдем начальную массу соли:


— масса соли, которую нужно добавить, тогда:



Правильный ответ: 17.
Правильный ответ: 17