Задание с ответами: химия. ЕГЭ — 2018
Термохимическое уравнение сгорания железа в кислороде:

В результате реакции выделилось 2057,5 кДж. Вычислите массу образовавшегося оксида железа (III). Ответ дайте в граммах с точностью до целых.
Составим пропорцию:
2M[оксида железа (III)] г оксида железа (III) — 1646 кДж;
г оксида железа (III) — 2057,5.
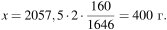
Отсюда
равен:

Правильный ответ: 400.
Правильный ответ: 400