Задание с ответами: химия. ЕГЭ — 2018
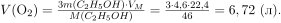
Вычислите объём (н. у.) кислорода, необходимый для полного сгорания 4,6 г этанола. Ответ укажите в литрах с точностью до сотых.




Ответ просят округлить до сотых.
Правильный ответ: 6,72.
Правильный ответ: 6,72