Задание с ответами: химия. ЕГЭ — 2018
Вычислите максимально возможный объём (н. у.) аммиака, который может быть получен исходя из 40 л водорода и 30 л азота. Ответ укажите в литрах с точностью до десятых.
Согласно уравнению
и закону Авогадро, каждый объем азота реагируют с тремя объемами водорода, и при этом образуется два объема аммиака.
Максимально возможный объём аммиака образуется, когда один из реагентов потратится полностью.
Тогда
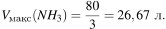
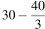
л азота прореагируют с 40 л водорода, при этом образуется
л аммиака, и ещё
л азота не вступят в реакцию.

Ответ: 26,7.
Правильный ответ: 26,7