Задание с ответами: химия. ЕГЭ — 2018
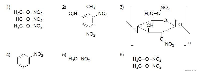
Из перечисленных веществ выберите три вещества, которые относятся к нитросоединениям.
Цифры в ответе укажите в порядке возрастания.
1) тринитроглицерин
2) 2,4,6-тринитротолуол
3) динитроцеллюлоза
4) нитробензол
5) нитрометан
6) динитрат этиленгликоля
К нитросоединениям относятся органические вещества в которых нитрогруппа −NO2 соединена с атомом углерода. 
Для решения поставленной задачи нужно знать структурные формулы перечисленных веществ.
К нитросоединениям относятся 2,4,6-тринитротолуол, нитробензол и нитрометан.
Правильный ответ: 245
Замечание: несмотря на часто встречающееся слово тринитроглицерин, это тривиальное название не отражает химического строения вещества. Это вещество нельзя отнести к нитросоединениям. Правильнее было бы называть его тринитрат глицирина, так как это сложный эфир азотной кислоты и глицирина (трёхатомного спирта), в нем группа −NO2 соединена с атомом кислорода. Та же ситуация с названием динитроцеллюлоза.
Правильный ответ: 245