Задание с ответами: химия. ЕГЭ — 2018
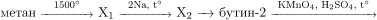
Напишите уравнения реакций, с помощью которых можно осуществить следующие превращения:


При написании уравнений реакции используйте структурные формулы органических веществ.
Элементы ответа:
Написаны уравнения реакций, соответствующие схеме превращений:
1) 
2) 
3) 
4) 
5) 