Задание с ответами: химия. ЕГЭ — 2018
Используя метод электронного баланса, составьте уравнение реакции:

Сведения для решения
Элементы ответа:
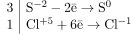
1) Составлен электронный баланс:

2) Расставлены коэффициенты в уравнении реакции:

3) Указано, что сера в степени окисления −2 (или сероводород за счёт серы −2) является восстановителем, а хлор в степени окисления +5 (или хлорноватая кислота за счёт хлора +5) — окислителем.