Задание с ответами: химия. ЕГЭ — 2018
Используя метод электронного баланса, составьте уравнение реакции:

Определите окислитель и восстановитель.
Элементы ответа:
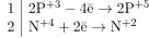
1) Составлен электронный баланс:

2) Расставлены коэффициенты в уравнении реакции:

3) Указано, что фосфор в степени окисления +3 (или оксид фосфора) является восстановителем, а диоксид азота за счёт азота в степени окисления +4 — окислителем.