Задание с ответами: химия. ЕГЭ — 2018
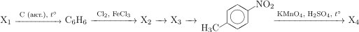
Напишите уравнения реакций, с помощью которых можно осуществить следующие превращения:

При написании уравнений реакций используйте структурные формулы органических веществ.
Напишем уравнения реакций, соответствующих схеме превращений:
1) 
2) 
3) 
(возможна запись побочных продуктов, например,
и
)
4) 
или

Дальнейшее превращение с любым из этих двух изомеров.
5) 