Задание с ответами: химия. ЕГЭ — 2018
При электролизе расплава оксида алюминия на инертном аноде выделилось 100,8 л (в пересчёте на н. у.) газа. Вычислите массу металла, который образовался на катоде. Ответ дайте в граммах с точностью до целых.

Объем выделившегося кислорода равен 100,8 л, количество вещества
считается как отношение объема к молярному объему. Получаем:

=
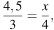
Примем количество вещества выделившегося алюминия за
, по уравнению реакции составим пропорцию:
таким образом,

Молярная масса алюминия равна 27 г/моль, 


Правильный ответ: 162.
Правильный ответ: 162