Задание с ответами: химия. ЕГЭ — 2018
При разложении оксида азота образовалось 25 л азота и 12,5 л кислорода. Вычислите объём вспупившего в реакцию оксида азота. Объёмы газов измерены при одинаковых условиях. Ответ дайте в литрах с точностью до целых.
По условию объём азота в два раза больше объёма кислорода, значит, в исходном оксиде число атомов азота в два раза больше, чем число атомов кислорода.

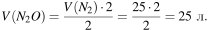
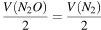
Так как молярный объем газов одинаков для всех газов, то можно не переходить к расчету по реакции через количество вещества. Таким образом, можно составить пропорцию отношений объемов к количеству вещества по уравнению реакции (стехиометрические коэффициенты):
.
Выражая искомый объем оксида азота, получаем:

Правильный ответ: 25.
Правильный ответ: 25