Задание с ответами: химия. ЕГЭ — 2018
Некоторое органическое соединение массой 5,8 г, взаимодействуя с гидроксидом меди (II), при нагревании образовало 14,4 г осадка оксида меди (I). Указанное органическое соединение вступает в реакции присоединения гидросульфита натрия и этанола. На основании этих данных:
1) установите простейшую молекулярную формулу соединения,
2) составьте его структурную формулу,
3) приведите уравнение реакции его взаимодействия с гидроксидом меди (II).
Решение, которое предложили авторы задачи:
1) Вещество, взаимодействующее с гидроксидом меди (II) с образованием
дающее продукт присоединения с
присоединяющее этанол, относится, наиболее вероятно, к классу альдегидов. Общая формула альдегидов
что позволяет записать уравнение реакции в общем виде:

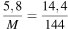
Из уравнения реакции видно, что
что позволяет составить уравнение:

Откуда молярная масса альдегида M = 58 г/моль.
Решая уравнение для молярной массы:


получаем n = 3.
Простейшая формула
Это пропионовый альдегид.
2) Структурная формула пропионового альдегида:

3) Взаимодействие альдегида с гидроксидом меди (II) приводит к образованию пропионовой кислоты, оксида меди (I) и воды:
.
-----------------------------------------------------------------
Замечание от РЕШУЕГЭ:
1. В формулировке задания используется странная формулировка «простейшая молекулярная формула». Следует различать понятия «простейшая формула» и «молекулярная формула». Простейшая показывает только соотношение числа атомов в веществе, а молекулярная — точное количество атомов в молекуле. Например, простейшая формула бензола
, а молекулярная
. Иногда простейшая и молекулярная формулы совпадают.
2. Решение построено на предположении, что исходное вещество является предельным альдегидом, содержит только одну альдегидную группу, не содержит никаких других функциональных групп, что никак не вытекает из условия задачи.
Если предположить наличие двух альдегидных групп, то получим

Например, это может быть вещество с молекулярной формулой
с двумя альдегидными группами

3-гидроксипентандиаль
3. Знание только простейшей формулы не позволяет определить структурную формулу вещества и дать ему название. Для этого сначала необходимо определить молекулярную формулу.
Остаётся надеяться, что на экзамене таких неоднозначных задач не будет.