Задание с ответами: химия. ЕГЭ — 2018
Некоторый углеводород содержит 12,19 % водорода по массе. Молекула этого углеводорода содержит один четвертичный атом углерода. Установлено, что этот углеводород может взаимодействовать с аммиачным раствором оксида серебра с образованием бурого осадка. На основании этих данных:
1) установите простейшую формулу углеводорода,
2) составьте его структурную формулу,
3) приведите уравнение реакции его взаимодействия с аммиачным раствором оксида серебра.
1) Формула углеводорода:
.
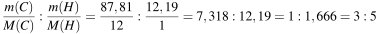
Выведем простейшую формулу.
Пусть масса углеводорода 100 г, тогда
.
Значит, простейшая формула:
.
2) Определим молекулярную формулу:
Формула
— не может являться молекулярной формулой углеводорода (количество атомов водорода должно быть чётным).
Формула
— может являться молекулярной формулой углеводорода (соответствует формуле
)*.
Проверим эту формулу на соответствие другим условиям:
— Известно, что углеводород может взаимодействовать с аммиачным раствором оксида серебра с образованием бурого осадка — должна присутствовать тройная связь у крайнего атома углерода.
Формула
допускает наличие тройной связи в молекуле.
— Известно, что молекула этого углеводорода содержит один четвертичный атом углерода.
Формула
допускает наличие четвертичного атома углерода.
Указанным условиям удовлетворяет 3,3-диметилбутин-1, структурная формула которого:

3) Запишем уравнение реакции взаимодействия 3,3-диметилбутина-1 с аммиачным раствором оксида серебра:
.
-------------------------------------------------------------
Замечание: В приведённом решении найден только один из возможных углеводородов, который удовлетворяет указанным условиям.
Этап определения молекулярной формулы можно было продолжить и получить, например, следующий результат:
— может являться молекулярной формулой углеводорода (соответствует формуле
).
Формула
допускает наличие тройной связи в молекуле.
Формула
допускает наличие четвертичного атома углерода.
Указанным условиям удовлетворяет 2,3,4,5,5-пентаметилгепт-1-ен-6-ин, структурная формула которого:

и т. д.
Авторы задачи, конечно, имели ввиду только самое простое решение — алкин. Но задачка получилась неоднозначная.
Остаётся надеяться, что на экзамене таких не встретится.