Задание с ответами: химия. ЕГЭ — 2018
Некоторое органическое вещество, взаимодействуя с гидроксидом калия, образует продукт, содержащий 28,57 % кислорода. Известно, что это вещество может реагировать с метанолом и оксидом кальция, а также окрашивает лакмус в красный цвет. На основании этих данных:
1) установите простейшую молекулярную формулу исходного вещества,
2) составьте его структурную формулу,
3) приведите уравнение реакции его взаимодействия с метанолом.
В красный цвет лакмус окрашивают кислоты, что так же подтверждается тем, что вещество вступает в реакцию со спиртом и оксидом кальция.


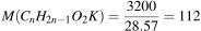
г/моль


1) простейшая формула: 
2) структурная формула:

3) уравнение реакции:
.