Задание с ответами: химия. ЕГЭ — 2018

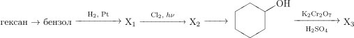
Напишите уравнения реакций, с помощью которых можно осуществить следую­щие превращения:

 

 

При написании уравнений реакций используйте структурные формулы органических веществ.

Сведения для решения

1)

2)

 

3)

 

4)

 

5)