Задание с ответами: химия. ЕГЭ — 2018
Используя метод электронного баланса, составьте уравнение реакции

Определите окислитель и восстановитель.
Элементы ответа:
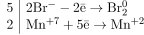
1) Составлен электронный баланс:

2) Расставлены коэффициенты в уравнении реакции

3) Указано, что бром в степени окисления −1 (или бромид калия за счёт брома в степени окисления −1) является восстановителем, а марганец в степени окисления +7 (или перманганат калия за счёт марганца в степени окисления +7) — окислителем.