Задание с ответами: химия. ЕГЭ — 2018
Дано термохимическое уравнение:

В результате реакции выделилось 1000 кДж теплоты. Вычислите массу образовавшегося оксида меди (II). Примите Ar(Cu) = 64. Ответ дайте в граммах с точностью до целых.
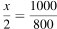
По уравнению реакции можно составить пропорцию, что образованию 2-х моль оксида меди (II) соответствует выделение 800 кДж теплоты, а 1000 кДж теплоты соответствует х моль. Таким образом,
, тогда
.
Масса вещества равна произведению количества вещества на его молярную массу. Получаем, что выделилось
оксида меди(II).
Правильный ответ: 200.
Правильный ответ: 200