Задание с ответами: химия. ЕГЭ — 2018
Напишите уравнения реакций, с помощью которых можно осуществить следующие превращения:


При написании уравнений реакций используйте структурные формулы органических веществ.
1) 
2) 
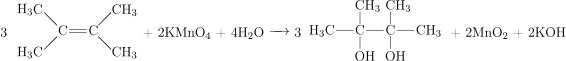
3) 
4) 
5) 
ВЫБЕРИТЕ ПРОФЕССИОНАЛЬНУЮ ПОМОЩЬ!
Напишите уравнения реакций, с помощью которых можно осуществить следующие превращения:


При написании уравнений реакций используйте структурные формулы органических веществ.
1) 
2) 
3) 
4) 
5) 