Задание с ответами: химия. ЕГЭ — 2018
Используя метод электронного баланса, составьте уравнение реакции:

Определите окислитель и восстановитель.
Элементы ответа:
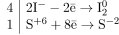
1) Составлен электронный баланс:

2) Расставлены коэффициенты в уравнении реакции

3) Указано, что йодид калия является восстановителем (за счёт йода со степенью окисления −1), а серная кислота — окислителем (за счёт серы со степенью окисления +6).