Задание с ответами: химия. ЕГЭ — 2018
Вычислите массу перманганата калия, который потребуется для получения 11,2 л хлора (н. у.) из соляной кислоты. Ответ дайте в граммах с точностью до десятых.

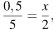
Объем выделившегося хлора равен 11,2 л, количество вещества
считается как отношение объема к молярному объему. Получаем:

= 
Примем количество вещества вступившего в реакцию перманганата калия за
, по уравнению реакции составим пропорцию:
таким образом,
Молярная масса перманганата калия равна 158 г/моль,



Правильный ответ: 31,6.
Правильный ответ: 31,6