Задание с ответами: химия. ЕГЭ — 2018
Вычислите массу 25 %-го раствора вещества, который надо добавить к 270 г 5 %-го раствора, чтобы получить 10 %-й раствор. Ответ дайте с точностью до целых.
Задачи такого типа легко решаются методом креста («конверт» Пирсона).

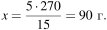
Таким образом получается, что нужно 5 частей 25 % раствора и 15 частей 5 % раствора. Составив пропорцию, получаем:

Правильный ответ: 90.
Правильный ответ: 90