Задание с ответами: химия. ЕГЭ — 2018
Используя метод электронного баланса, составьте уравнение реакции:

Определите окислитель и восстановитель.
Элементы ответа:
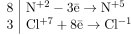
1) Составлен электронный баланс:

2) Расставлены коэффициенты в уравнении реакции

3) Указано, что азот в степени окисления +2 (или оксид азота за счёт азота +2) является восстановителем, а хлор в степени окисления +7 (или хлорная кислота за счёт хлора +7) — окислителем.