Задание с ответами: химия. ЕГЭ — 2018
Дано термохимическое уравнение:

В результате реакции выделилось 226 кДж теплоты. Вычислите массу оксида углерода (II), вступившего в реакцию. Ответ дайте в граммах с точностью до десятых.
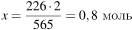
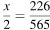
По уравнению реакции можно составить пропорцию, что вступающим в реакцию 2 моль оксида углерода(II) соответствует выделение 565 кДж теплоты, а
моль соответствует 226 кДж теплоты.
Таким образом,
, тогда
.
Масса вещества равна произведению количества вещества на его молярную массу. Получаем, что в реакцию вступило
оксида углерода (II).
Правильный ответ: 22,4.
Правильный ответ: 22,4