Задание с ответами: химия. ЕГЭ — 2018

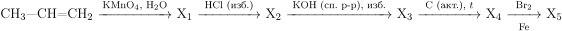
Напишите уравнения реакций, с помощью которых можно осуществить следующие превращения:

 

 

B уравнениях укажите структурные формулы органических веществ.

Сведения для решения

Написаны пять уравнений реакций, соответствующих схеме превращений:

 

1)

 

2)

 

3)

 

4)

 

5)