Задание с ответами: химия. ЕГЭ — 2018
Вычислите объём кислорода, который потребуется для полного окисления 500 л аммиака до оксида азота (II) в присутствии катализатора. Объёмы газов измерены при одинаковых условиях. Ответ дайте в литрах с точностью до целых.
Составим уравнение:

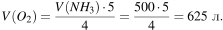
Так как молярный объем газов одинаков для всех газов, то можно не переходить к расчету по реакции через количество вещества. Таким образом, можно составить пропорцию отношений объемов к количеству вещества по уравнению реакции (стехиометрические коэффициенты):

Выражая искомый объем оксида азота, получаем:

Правильный ответ: 625.
Правильный ответ: 625