Задание с ответами: химия. ЕГЭ — 2018
Дано термохимическое уравнение:

В результате реакции выделилось 85,5 кДж теплоты. Вычислите массу оксида азота (II), вступившего в реакцию. Ответ дайте в граммах с точностью до целых.
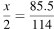
По уравнению реакции можно составить пропорцию, что вступающим в реакцию 2-ум молям оксида азота (II) соответствует выделение 114 кДж теплоты, а 85,5 кДж теплоты соответствует х моль. Таким образом,
, тогда
. Масса вещества равна произведению количества вещества на его молярную массу. Получаем, что в реакцию вступило
оксида азота(II).
Правильный ответ: 45.
Правильный ответ: 45