Задание с ответами: химия. ЕГЭ — 2018
Сколько граммов сульфида алюминия требуется для получения 2,24 л (н. у.) сероводорода с помощью реакции гидролиза? Ответ округлите до ближайшего целого числа.

= 2.24 /22.4 = 0.1 (моль)
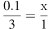
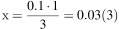
Составим пропорцию, приняв за х количество вещества сульфида алюминия:

(моль)
= 0.03 · 150 = 5 (г).
Правильный ответ: 5.
Правильный ответ: 5