Задание с ответами: химия. ЕГЭ — 2018
Дано термохимическое уравнение:

В результате реакции выделилось 19 кДж теплоты. Сколько граммов перманганата калия разложилось? Ответ округлите до ближайшего целого числа.
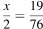
По уравнению реакции можно составить пропорцию, что разлагающимся 2-ум молям перманганата калия соответствует выделение 76 кДж теплоты, а 19 кДж теплоты соответствует х моль. Таким образом,
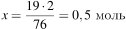
, тогда
.
Масса вещества равна произведению количества вещества на его молярную массу. Получаем, что в реакцию вступило
перманганата калия.
Правильный ответ: 79.
Правильный ответ: 79