Задание с ответами: химия. ЕГЭ — 2018
При растворении железа в горячей концентрированной азотной кислоте выделилось 16,8 л (н. у.) оксида азота (IV). Сколько граммов железа израсходовано? Ответ округлите до ближайшего целого числа.
Составим уравнение:
n = 16,8 /22,4 = 0,75 (моль)
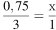
Составим пропорцию, приняв за
количество вещества железа:

(моль)
Масса железа = 0,25
56 = 14 (г).
Правильный ответ: 14.
Правильный ответ: 14