Задание с ответами: химия. ЕГЭ — 2018
Дано термохимическое уравнение:

В результате реакции выделилось 36 кДж теплоты. Сколько граммов хлората калия разложилось? Примите
. Ответ округлите до ближайшего целого числа.
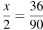
По уравнению реакции можно составить пропорцию, что разлагающимся 2-ум молям хлората калия соответствует выделение 90 кДж теплоты, а 36 кДж теплоты соответствует х моль. Таким образом,
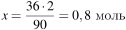
, тогда
.
Масса вещества равна произведению количества вещества на его молярную массу. Получаем, что в реакцию вступило
хлората калия.
Правильный ответ: 98.
Правильный ответ: 98