Задание с ответами: химия. ЕГЭ — 2018
Для выполнения задания используйте следующий перечень веществ: хлорид железа (III), иодид калия, нитрат калия, карбонат натрия, сульфат натрия. Допустимо использование водных растворов веществ.
Из предложенного перечня веществ выберите вещества, между которыми возможна окислительно-восстановительная реакция, и запишите уравнение этой реакции. Составьте электронный баланс, укажите окислитель и восстановитель.
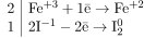
Запишем уравнение реакции:

Составим электронный баланс:

Иод в степени окисления −1 (иодид каля) является восстановителем. Железо в степени окисления +3 (хлорид железа (III)) — окислителем.