Задание с ответами: химия. ЕГЭ — 2018
Для выполнения задания используйте следующий перечень веществ: серебро, азотная кислота, гидрокарбонат натрия, сульфат натрия, силикат цинка. Допустимо использование водных растворов веществ.
Из предложенного перечня веществ выберите вещества, между которыми возможна окислительно-восстановительная реакция, и запишите уравнение этой реакции. Составьте электронный баланс, укажите окислитель и восстановитель.
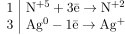
Запишем уравнение реакции между разбавленной азотной кислотой и серебром:

Составим электронный баланс:

Серебро в степени окисления 0 является восстановителем. Азот в степени окисления +5 (азотная кислота) — окислителем.