Задание с ответами: химия. ЕГЭ — 2018
Для выполнения задания используйте следующий перечень веществ: иод, иодид калия, нитрат калия, нитрит калия, нитрат свинца (II). Допустимо использование водных растворов веществ.
Из предложенного перечня веществ выберите вещества, между которыми возможна окислительно-восстановительная реакция, и запишите уравнение этой реакции. Составьте электронный баланс, укажите окислитель и восстановитель.
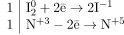
Запишем уравнение реакции:

Составим электронный баланс:

Азот в степени окисления +3 (нитрит калия) является восстановителем. Иод в степени окисления 0 — окислителем.