Задание с ответами: химия. ЕГЭ — 2018
Для выполнения задания используйте следующий перечень веществ: нитрат бария, сульфат меди(II), хлороводород, иодид калия, бромид натрия. Допустимо использование водных растворов веществ.
Из предложенного перечня веществ выберите вещества, между которыми возможна окислительно-восстановительная реакция, и запишите уравнение этой реакции. Составьте электронный баланс, укажите окислитель и восстановитель.
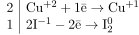
Запишем уравнение реакции:

Составим электронный баланс:

Иод в степени окисления −1 (иодид калия) является восстановителем. Медь в степени окисления +2 (сульфат меди(II)) — окислителем.