Задание с ответами: химия. ЕГЭ — 2018
Для выполнения задания используйте следующий перечень веществ: гидроксид калия, силикат калия, хромат калия, гидроксид лития, нитрит натрия. Допустимо использование водных растворов веществ.
Из предложенного перечня веществ выберите вещества, между которыми возможна окислительно-восстановительная реакция, и запишите уравнение этой реакции. Составьте электронный баланс, укажите окислитель и восстановитель.
Запишем уравнение реакции:

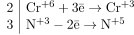
Составим электронный баланс:

Азот в степени окисления +3 (нитрит натрия) является восстановителем. Хром в степени окисления +6 (хромат калия) — окислителем.