Задание с ответами: химия. ЕГЭ — 2018
Для выполнения задания используйте следующий перечень веществ: серная кислота, сульфат калия, дихромат калия, сульфит натрия, хлорид натрия. Допустимо использование водных растворов веществ.
Из предложенного перечня веществ выберите вещества, между которыми возможна окислительно-восстановительная реакция, и запишите уравнение этой реакции. Составьте электронный баланс, укажите окислитель и восстановитель.
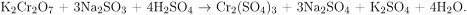
Запишем уравнение реакции:

Составим электронный баланс:

Сера в степени окисления +4 (сульфит натрия) является восстановителем. Хром в степени окисления +6 (дихромат калия) — окислителем.